样品问题陈述
为下列应用场合设计一个压力减压阀。
受保护设备:分离容器
救援服务:燃气燃料
解除原因:气体排放受阻
缓解速度:10000公斤/小时
气体密度:4.1 kg/m3.
气体的比热比(CP/ CV): 1.55
气体压缩系数= 0.95
气体的分子量= 20克/摩尔
缓解温度= 200C
设置压力:4.5巴
积累:10%
安全阀排放的背压:2.1巴
安全阀类型:平衡波纹管
解决方案
安全阀通径计算的示例问题可以在以下步骤中解决,这些步骤基于API RP 520第1部分中描述的安全阀通径程序。第一步是确定气体流量类型是临界还是亚临界。
Step1
第一步是确定流动条件是临界还是次临界。为此目的,临界流量压力(Pcf)下游到安全阀的计算必须使用API RP 520第1部分的下列公式,
P1:将压力释放到巴拉安全阀的上游
P1= 5.96巴拉(含10%累积)
k:气体比热率。(CP/ CV)
k = 1.55
Pcf:巴拉给定流动条件下的临界流动压力
Pcf= 3.0巴拉
如果安全阀的下游压力或背压(3.113 bara)大于临界流量压力(3.0 bara),则称为亚临界流量。在本例中,背压(3.113 bara) > Pcf(3.0巴拉)。因此,流动是次临界型的。
步骤2
下一步是采用API 520第I部分中给出的安全阀通径程序,用于亚临界流量型气体安全阀。用了下面的方程,
答:孔板的要求单位是毫米2
W:流量单位为公斤/小时
W = 10,000公斤/小时
T:开氏温度
T = 273.16 + 20 = 293.26 k
Z:气体的压缩系数
Z = 0.95
M:气体的分子量
M = 20克/摩尔
P1:将压力释放到巴拉安全阀的上游
P1= 5.96巴拉(含10%累积)
P2:在巴拉安全阀下游的反压力
P2= 3.11巴拉
Kd:流量系数
Kd= 0.975燃气服务
KC:使用破裂盘的组合校正系数
KC= 1(如果阀门上游没有破裂盘)
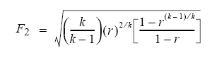
F2:亚临界流量系数
k:气体比热率。(CP/ CV)
k = 1.55
R:背压与泄压之比
r = P2/ P1= 0.58
因此,F2= 0.5985
将此数据代入式(1),计算出安全阀所需的最小孔板面积为,
A = 34.07 cm2
步骤3
应该为实际安装的减压阀选择下一个更高的可用孔口面积。他指的是EnggCyclopedia公司的安全阀通径计算器中给出的标准孔口尺寸表ld乐动体育app,下一个高可用孔口面积选定为A = 41.20 cm2对应的字母是“P”。可选用的阀门通径为‘4P6’,对应减压阀吸、排喷嘴的不同通径。对于'4P6'阀,吸入喷嘴的尺寸为4",排出喷嘴的尺寸为6"。








