样品问题陈述
为以下应用设计一个减压阀。
防护设备:分离器容器
救援服务:燃料气体
解除原因:气体排放受阻
缓解率:10,000公斤/小时
气体密度:4.1 kg/m3.
气体比热比(CP/ CV): 1.35
气体压缩系数= 0.95
解除温度= 200C
设置压力:5 barg
积累:10%
安全阀排放处的背压:0.5巴
安全阀类型:常规
解决方案
这个关于溢流阀通径计算的示例问题可以根据API RP 520第i部分中描述的减压阀通径程序按以下步骤解决。第一步是确定气体流量类型是临界还是次临界。
Step1
第一步是确定流动条件是否临界。为此,临界流动压力(Pcf)下游的安全阀必须使用API RP 520第I部分的下列公式进行计算,
P1:释放上游到安全阀的压力
P1= 6.51 bara(含10%累积量)
k:气体比热比。(CP/ CV)
k = 1.35
Pcf:给定流动条件下的临界流动压力,单位为巴拉
Pcf= 3.5巴拉
如果安全阀的下游压力或背压低于临界流量压力,则称为临界流量。在这种情况下,安全阀下游的实际压力不能低于临界流量压力,即使阀门下游的压力更低。对于给定的阀门上游的一组流量条件,减少的质量流量不能进一步增加。
在这种情况下,背压(1.5巴拉)< Pcf(3.5巴拉)。因此流是临界型的。
步骤2
下一步是使用API 520第I部分中给出的安全阀通径程序,用于临界流量型气体安全阀。使用下面的方程,
孔板要求单位为mm2
流量单位:kg/hr
W = 10,000公斤/小时
T:开尔文的温度
T = 273.16 + 20 = 293.26 k
Z:气体压缩系数
Z = 0.95
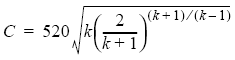
C:火灾情况下的系数为k (CP/ CV)根据以下公式,
这里,C = 351.6
P1:释放上游到安全阀的压力
P1= 6.51 bara(含10%累积量)
Kd:流量系数
Kd燃气服务= 0.975
Kb:背压导致的容量修正系数
Kb= 1(对于接近大气背压的常规安全阀)
KC:破裂盘使用的综合校正系数
KC= 1(如果在阀门上游没有破裂阀瓣)
将该数据代入式(1)中,计算出安全阀所需的最小孔板面积为:
A = 22.0厘米2
步骤3
对于实际安装的减压阀,应该选择下一个较高的可用孔板面积。他指的是在EnggCyclopedia的溢流阀尺寸计算器中给出的标准孔板尺寸表ld乐动体育app,
下一个高可用孔面积被选择为A = 23.20 cm2对应的指定字母是“M”。可供选择的阀门通径为“4M6”,对应减压阀的吸气和排气口的不同喷嘴通径。对于一个“4M6”阀门的吸入喷嘴是4“大小和排出喷嘴的6”大小。








