控制阀是用于过程控制回路的元件,用于调节过程变量,如流量、液位、压力、温度等。控制阀主要由一个阀门和一个执行机构组成,在某些情况下可能还会有更多的阀门控制元件。
这些阀门主要通过节流来达到预期的控制效果。
控制阀特性
控制阀开度(也称为“阀门行程”)和流经阀门的流量之间的关系称为该阀门的流量特性。固有的流量特性是恒定压力条件下阀门开度和流量之间的关系。
阀门的增益定义为阀门开度每单位%的流量变化。
- 的线性流动特性具有恒定斜率,这意味着此类阀门在整个流量范围内具有恒定增益。这些阀门通常用于液位控制和某些需要恒定增益的流量控制操作。
- 等百分比阀门之所以叫这个名字,是因为每当阀门开度改变时,流量变化的百分比等于阀门开度变化的百分比。这意味着流量的变化与增量阀门开启前的流量成正比。这也可以在下图中观察到。这种类型的阀门通常用于压力控制应用。可以考虑在压力降变化较大的应用场合使用。
- 快开阀门类型没有特定的数学定义。这些阀门在相对较小的阀门开度下,流量增加很大,如下图所示。这些阀门通常用于开关应用场合。
- 修正抛物线阀门位于线性阀门和等百分比阀门之间。从下图中可以看出,它们可以用于低流量的节流,在高流量时几乎具有线性特性。
一般的大类
阀门可以根据阀杆运动的类型进行广泛的分类-线性或旋转型。
截止阀:截止阀是最常用的衬管阀杆运动式控制阀。这种类型阀门的流量控制是通过旋塞的运动实现的,如下图所示。加湿器的形状和类型也决定了阀门的流量特性。
闸阀:闸阀采用线性阀杆运动来开启和关闭阀门。这些阀门使用阀瓣作为关闭部件,如下图所示。这种阀瓣的表面可以是平行的,也可以是楔形的。
蝶阀:蝶阀以其紧凑的尺寸和较低的初始成本而闻名,这主要是由于这些阀门的晶片和阀体尺寸较小,且设计简单。该阀门属于旋转阀杆运动型阀门。
球阀:这些阀门使用一个球形封闭构件,该构件上有一个圆柱孔,用于流体通过。该球形关闭件必须旋转90度,以使阀门从完全关闭位置转到完全打开位置。此类型从闭包成员的形状获取名称。如果圆柱孔的直径与连接管的直径相同,则该阀称为全通径阀。如果该直径小于连接管的直径,则该阀门称为文丘里型阀门。这些阀门通过旋转阀杆运动。
控制阀的选型
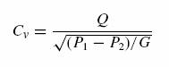
控制阀的节流孔可以调节以控制通过它们的流量。控制阀的选型是根据理论和经验数据相结合的。容量、特性、量程和回收是选择控制阀的四个重要因素。Cv被称为流量系数或孔板系数一个阀门。这个系数Cv通过以下基本液体方程与流量和压力条件相关。
因此
所需的Cv因此,可以根据流量和压力条件计算阀门的流量。这个Cv然后应与可用阀门匹配,并应选择合适的阀门,以使所需的Cv在所选阀门C的70%到90%之间v能力。在选择阀门时,还必须考虑最大和最小工艺流量的可能性。
许多流动情况往往超出上述C的基本液体方程的范围v计算。在这些情况下,C的修正液体方程v计算公式如下:
上面提到的液体的基本方程,下面以气体的修正形式给出。
的能力控制阀的流量表示为,
Cd= Cv/ d2(d为阀门直径)
阀门特性是阀门开度(阀门行程)与通过阀门的流量之间的关系。
变化幅度可以定义为最大流量与最小流量的比值,在此比值上,使用该阀可以实现良好的控制。
复苏是指从静脉收缩处的低压到阀门出口的压力恢复。井流线型阀门的压力回收率高。















