当常压或低压储罐暴露在火灾中时,液体蒸发,高温下的蒸汽导致储罐内压力升高。因此,需要释放超压,以保护储罐的机械完整性。标准API 2000中给出了不同类型储罐的储罐通风要求。这些通风要求可能超过液体运动和热效应的正常通风要求。
一些低压储罐配有脆弱的顶部,其顶部与壳体之间的连接薄弱。如果紧急通风要求超过正常通风出口的容量,导致超压,则在储罐结构中的任何其他接头之前,该弱连接失效。因此,形成了一个开口,以释放储罐中的超压。对于此类储罐,无需采取额外的紧急通风措施。
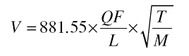
对于其他储罐,可使用API 2000中的程序计算应急储罐通风要求。
V:应急储罐通风要求,单位为Nm3/hr
Q:火灾热输入(瓦特)
F:环境因素
L:储存内容物的蒸发潜热,单位为kJ/kg
T:释放蒸汽的温度(单位:开尔文)
M:蒸汽的分子量,单位为gm/摩尔
火灾产生的热量输入取决于储罐的湿表面积,可根据API 2000中的下表,作为湿表面积的函数进行估算。
| 湿罐表面积(m2.) | 热输入(瓦特) |
| < 18.6 | 63150×A |
| ≥ 18.6和<93 | 224200×A0.566 |
| ≥ 93和<260 | 630400×A0.338 |
| ≥ 260,设计压力介于0.07和1.034 barg之间 | 43200×A0.82 |
| ≥ 260 | 4,129,700 |
对于允许精度较低的情况,可使用API 2000中的以下方程式。
V=208.2FA0.82
Q=43200A0.82
V:应急储罐通风要求(单位:Nm)3./人力资源
F:环境因素
Q:火灾热输入(瓦特)
A:湿罐表面积(m)2.
环境因素F取决于多种因素,如储罐类型、配置、绝缘导电性和绝缘厚度。该环境因子F可从API 2000中读取,并且只能对一个环境因子进行积分。
在估计紧急通风需求时,首先将其与系统的正常通风容量进行比较。火灾期间,可以忽略排气的热效应,并假设在发生火灾时液体运动停止。因此,如果正常通风能力能够满足紧急通风要求,则可充分考虑该能力。
如果应急通风要求超过正常通风能力,则必须进行额外的通风安排,以在暴露于火灾期间注意应急储罐通风。





