清洁剂地址为美国2001是不导电物质,蒸发后不会留下任何残留物。
清洗剂一般分为两类:卤碳剂和惰性气体(IG)。
以下是NFPA所涵盖的清洁剂的典型表。当然,需要注意的是,下面提供的清洁剂清单是指示性的。考虑到根据NFPA 2001,其他媒介在不久的将来也可以使用,并有资格列入本列表,所有被纳入或拟纳入本标准的制剂应首先经过一个严格的评估过程,该过程类似于美国环境保护署(EPA) SNAP计划所采用的过程。
消防使用清洁剂的限制
涉及下列物料的火灾,不得使用洁净剂灭火:
-某些化学品,如硝酸纤维素、火药、有机过氧化物、联氨等
-活性金属,如锂、钠、钾、镁、钛、锆、铀和钚,
——金属氢化物。
需要考虑的是清洁剂在高温操作环境(烤箱、炉子等)中会变质。当使用全驱油系统时,在危险物周围安装固定的围护装置,以使特定的药剂浓度达到并在特定时间内保持不变。
实施所有必要的安全措施,如排放前报警、延时、警告标志、自给式呼吸器(SCBA)、培训等。
每种物质的NOAEL(无观察到的不良反应水平)和LOAEL(最低观察到的不良反应水平)值也应予以考虑。有关这些水平的指示性资料载于NFPA 2001的表1.5.1.2.1(a)。
根据每种清洁剂的浓度(% v/v), NFPA 2001规定了人类可接触的最大限值,范围从几秒到最大值5分钟不等。药剂浓度越小,人体最大允许暴露限值越大。
基于清洁剂的消防系统的组成部分
一种药剂供应的数量至少应足以同时保护最大的单一危害或一组危害。储备剂供应的确切数量由有管辖权的当局决定。
根据NFPA 2001的表4.2.1(a)、4.2.1(b)和4.2.1(c),清洁剂必须满足一些非常具体的质量标准,涉及其纯度、酸度、含水量和非挥发性残留物。
药剂应储存在设计用于在环境温度下存放该药剂的容器中。
用于这些系统的集装箱,如果不是装运集装箱,应按照ASME锅炉和压力容器规范第VIII节进行设计、认证和盖章。设计压力应适合在130°F(55°C)或最大控制温度极限下的最大压力。
总驱水量的选择
所需清洗剂的确切数量在很大程度上取决于火灾的类型。最小设计浓度是在灭火(或惰性)浓度乘以安全系数后计算出来的。火焰灭火(或惰性)浓度大多是通过不同类型的试验和实验来计算的。
NFPA 2001规定的最小安全系数值为1.2A、C类火灾,B类火灾,安全系数为1.3。
卤碳灭火清洁剂
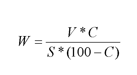
实现设计浓度所需的卤代烃剂总量计算公式如下:
卤代烃剂总驱水量计算公式
地点:
W =清洗剂重量(kg)
V =危害的净体积(单位:立方米)
S = 1atm下过热剂蒸气的体积(单位:立方米/公斤)
C =药剂设计浓度(体积百分比)
T =被保护体积的最小估计温度
基于该方程的总淹没量见NFPA 2001的表a .5.5.1(a)至表a .5.5.1(r)。
消防用惰性气体
如果我们没有卤代烃剂,但有惰性气体剂,即IG-01、IG-100、IG-541和IG-55,那么设计浓度使用以下公式从NFPA 2001计算。
惰性气体设计浓度的计算公式
地点:
X =在标准条件下每体积1.013巴和21摄氏度的危险空间中加入惰性气体的体积
t =保护体的最小估计温度,单位为摄氏度
这些惰性气体剂的相应总浸水量载于NFPA 2001的表a .5.5.2(a)至表a .5.5.2(h)。
关于其他部件的设计,如管道、连接件、阀门、喷嘴、报警驱动装置等的详细信息,可以通过研究NFPA 2001的更多细节找到。







