气化过程
气化是将含碳燃料转化为可用的气态产物的过程热值.含碳燃料包括固体、液体和气体,如煤、生物质、剩余油和天然气。气化不是一个单一的步骤,但涉及多个子过程和反应.在每个气化过程中热解、部分氧化和氢化子过程参与其中。它与燃烧不同,因为燃烧产物烟道气没有残留的热值。产生的气体通常称为合成气体,含有一氧化碳和氢,它们是许多化学物质的构建块,作为主要组分和甲烷,二氧化碳和硫化氢作为少量组分。
Syn气体
生成的合成气或'Syn气体有广泛的应用范围,从直接家庭应用到发电。可直接用作家庭烹饪用煤气。Syn气体用于生产氨、尿素、甲醇等化工产品。将合成气体中的一氧化碳转化为氢气水气转移反应以及相关的下游净化工艺,可以从合成气体中生产燃料电池级氢气。采用费托法将合成气体转化为液体燃料。它也可以通过在燃气轮机中燃烧来发电。
在所有的气化过程中,煤的气化在过去的三十年里,由于世界各地储量巨大的煤炭,这种工艺得到了极大的关注。煤可以气化通过在不同的温度和压力条件下与空气和蒸汽的混合物反应。煤的反应性、煤气组成和煤气发热值取决于煤的类型、组成和操作参数。各种气化技术,包括移动床、流化床和夹带流气化正在应用。煤气化产生的合成气含有细颗粒物和微量杂质,如NH3.和H2S和碱金属。根据气体的最终用途,它要经过一系列的气体清洗过程。
由于燃气轮机和蒸汽轮机循环的存在,联合循环电厂比燃煤电厂效率更高。在IGCC在美国,燃气轮机所需的燃料是由煤的气化产生的。
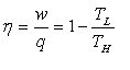
电厂将化学可燃性能量转化为电能的最大理论效率由下面的可逆能量的表达式得到卡诺的过程.
在哪里η是可燃能量的一小部分,w是能量转化为动力,问总化学能,Tl工艺中是否有最低温度,即环境温度和TH是过程中的最高温度。
基于此表达式,下表给出了各类型电厂的卡诺效率、实际电厂效率以及实际效率占卡诺效率的百分比。
周期 |
燃料 |
温度(0C) |
效率(%低热值) |
|||
T低 |
T高 |
卡诺 |
实际 |
实际为卡诺的% |
||
亚临界蒸汽循环 超临界 超超临界 IGCC |
煤炭 煤炭 煤炭 煤炭 气体 |
27 27 27 27 27 |
340 540 650 1350 1350 |
51 63 67 82. 82. |
35 40 45 46 58 |
69 63 67 56 71 |






